Матура по химия 2017- 30 май ООП
Тук можете да решите варианта на матруата по химия от напълно безплатно онлайн.
На ваше разположение са помощни таблици, които можете да отворите като кликнете на заглавията долу. Първи модул можете да решите изцяло онлайн. Втори модул няма как да бъде точно оценен автоматично, за това сме ви подготвили въпросите в таблицата. Решенията записвайте и след това последвайте линковете за да проверете колко точки сте събрали.
Първи модул
Съдържа 35 задачи от затворен тип с четири отговора, от които само един е верен. Поради спецификата на задачите от матурата автоматично оценяване е възможно само за този модул.
Втори модул
Задачите от този модул изизскват от вас да разпишете решенията. Това прави автоматичното оценяване невъзможно. По-долу ще намерите условията на задачите. Опитайте се да ги решите самостоятелно. След това последвайте линка към нашето решение и ключа за оценяване и сверете с вашето.
А) Кой е химичният елемент Е? (Запишете химичния знак или наименованието му.)
Б) Определете вида на простото вещество на химичния елемент Е.
В) Определете вида на оксида (киселинен, основен, амфотерен) във висшата степен окисление на елемента Е.
𝐂𝐎(г)+𝐇𝟐𝐎(г) ⇌ 𝐂𝐎𝟐 (г)+ 𝐇𝟐(г)+𝐐
А) Запишете кинетичното уравнение за правата реакция.
Б) Как ще се промени скоростта на правата реакция, ако се увеличи концентрацията на водните пари?
В) Оказва ли влияние промяната на налягането върху равновесните концентрации на веществата?
А) Изчислете масата на калциевия дихлорид, необходим за приготвяне на 2 L разтвор с молна (моларна) концентрация c(CaCl2) = 0,1 mol/L.
Б) За приготвянето на 500 g разтвор са използвани 25 g твърд CaCl2. Изчислете масовата част на калциевия дихлорид в разтвора.
А) В какъв цвят ще се оцвети лакмуса в бистрата варна вода (1) и в солната киселина (2)?
Б) Какво е рН в разтвора на бистра варна вода? (Запишете в свитъка за свободните отговори едно от означенията: рН < 7, рН > 7 или рН = 7.)
А) Кои са веществата X и Y? (Запишете формулите или наименованията им).
Б) Означете с химични уравнения описаните взаимодействия.
А) Варовикът е основна суровина за получаване на гасена вар.
Б) Амонякът е суровина за производството на азотна киселина.
В) Въглеродният оксид e безцветен газ, неразтворим във вода и е силна кръвна отрова.
Г) Лабораторно въглероден диоксид може да се получи от мрамор и солна киселина.
Д) NH4HCO3 се използва в сладкарството като набухвател под името сода за хляб.
Е) Сода каустик се използва в строителството.

А) Кои от въглеводородите (от 1 до 6) са изомери и принадлежат към хомоложния ред на
алкените? (Запишете номерата им в свитъка за свободните отговори.)
Определете вида на изомерията (верижна или позиционна).
Б) Кои от въглеводородите (от 1 до 6) са изомери и принадлежат към хомоложния ред на
алканите? (Запишете номерата им в свитъка за свободните отговори.)

А) Кое от веществата (запишете номера му) се получава при хидролиза на захароза и
реагира с амонячен разтвор на Ag2O при нагряване?
Б) Кое от веществата (запишете номера му) се получава при хидролиза на мазнини, реагира
с прясно утаен Cu(OH)2 при стайна температура, при което се получава съединение с
характерно тъмносиньо оцветяване?
В) Кое от веществата (запишете номера му) е леснозапалима течност, използва се като
разтворител и се окислява само от силни окислители?
Г) Кое от веществата (запишете номера му) може да се получи при хидролиза на белтъчни
вещества, много разтворимо е във вода, реагира и със солна киселина, и с натриева основа?
Означете с химично уравнение взаимодействието на това вещество с натриева основа.

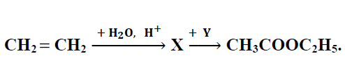
А) Запишете структурната формула на веществото Х.
Б) Изразете с химично уравнение взаимодействието между веществата Х и Y. Определете
вида на реакцията.
В) Изразете с химично уравнение взаимодействието на веществото Y с разтвор на натриева
основа.
(В свитъка за
свободни отговори срещу числата (1), (2) и (3) запишете липсващите думи или изрази, катоизберете от следните: мономери, разтварят се, естествени полимери, горенето, лесно, рециклирането, полимери, не се разтварят.)
Пластмасите са материали, които съдържат…….(1)…….. Използването на пластмасите
създава екологични проблеми: …….(2)…….във вода и трудно се разграждат. Основният
начин за намаляването на отпадъците от пластмаси е …….(3)……. им.

Смесени са 100 g Н2О и 110 g NaNO3.
А) Колко е минималната температура, до която трябва да се нагрее сместа, за да се разтвори
цялото количество сол?
Б) Какъв ефект ще се наблюдава, ако разтворът се охлади до 30 оС?
В) Какъв е видът на разтвора при 60 oC (наситен, ненаситен, преситен)?






