РЕШЕНИЯ ДЗИ ХИМИЯ 25 АВГУСТ 2025 ПП
🎓 Как да използваш решенията?
📌 Избери въпрос от списъка по-долу
🧠 Опитай първо сам да го решиш
📖 Прочети решението стъпка по стъпка
🔗 Използвай допълнителните материали, ако искаш да задълбочиш разбирането си
Първи Модул
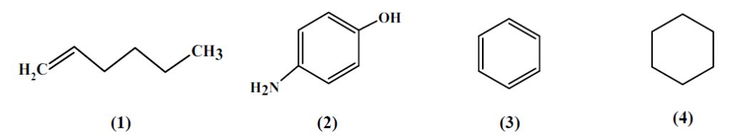
В) d-елементи от съседни групи

В) ендотермична и ΔH > 0

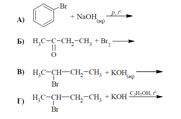
Верен отговор: Г)
Г) общото налягане се повиши при постоянна температура
В) по-висока температура на топене
Б) [Kr]4d105s25p5
(1) Молекулите на водата са полярни.
(2) Водата е много добър разтворител на меден сулфат.
(3) Температура на кипене на водата е по-висока от тази на сероводорода.
В) 1 и 3
Б) SO2 + H22O ⇌ H2SO3
Б) (CH3CH2)2O, CH3CH2COCH3
А) 2-метилбута-1,3-диен

Б) σ-диастереомери

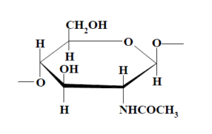
Б) полизахарид

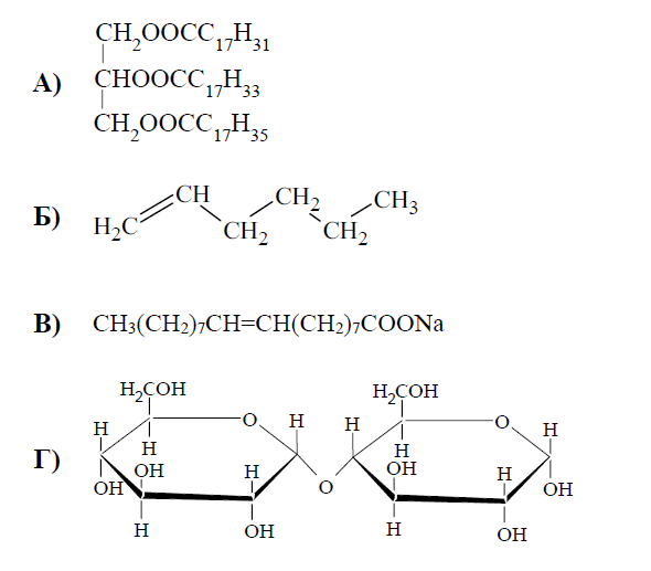
Верен отговор: Б)

Б) C6H5COOH
Решения на Втори Модул
ЗАДАЧА № 31. Амониев хлорид (нишадър)
ЗАДАЧА № 32. Естери
ЗАДАЧА 33. Меден сулфат (син камък)
ЗАДАЧА 34. Хипурова киселина



,

